HOME-Au
HOME-Au
24h
24h
USA
USA
GOP
GOP
Phim Bộ
Phim Bộ
Videoauto
VIDEO-Au
Donation
Donation
News Book
News Book
News 50
News 50
worldautoscroll
WORLD-Au
Breaking
Breaking
 

Go Back   VietBF > USA > Republican Party


Reply
Thread Tools
 
 
  #1  
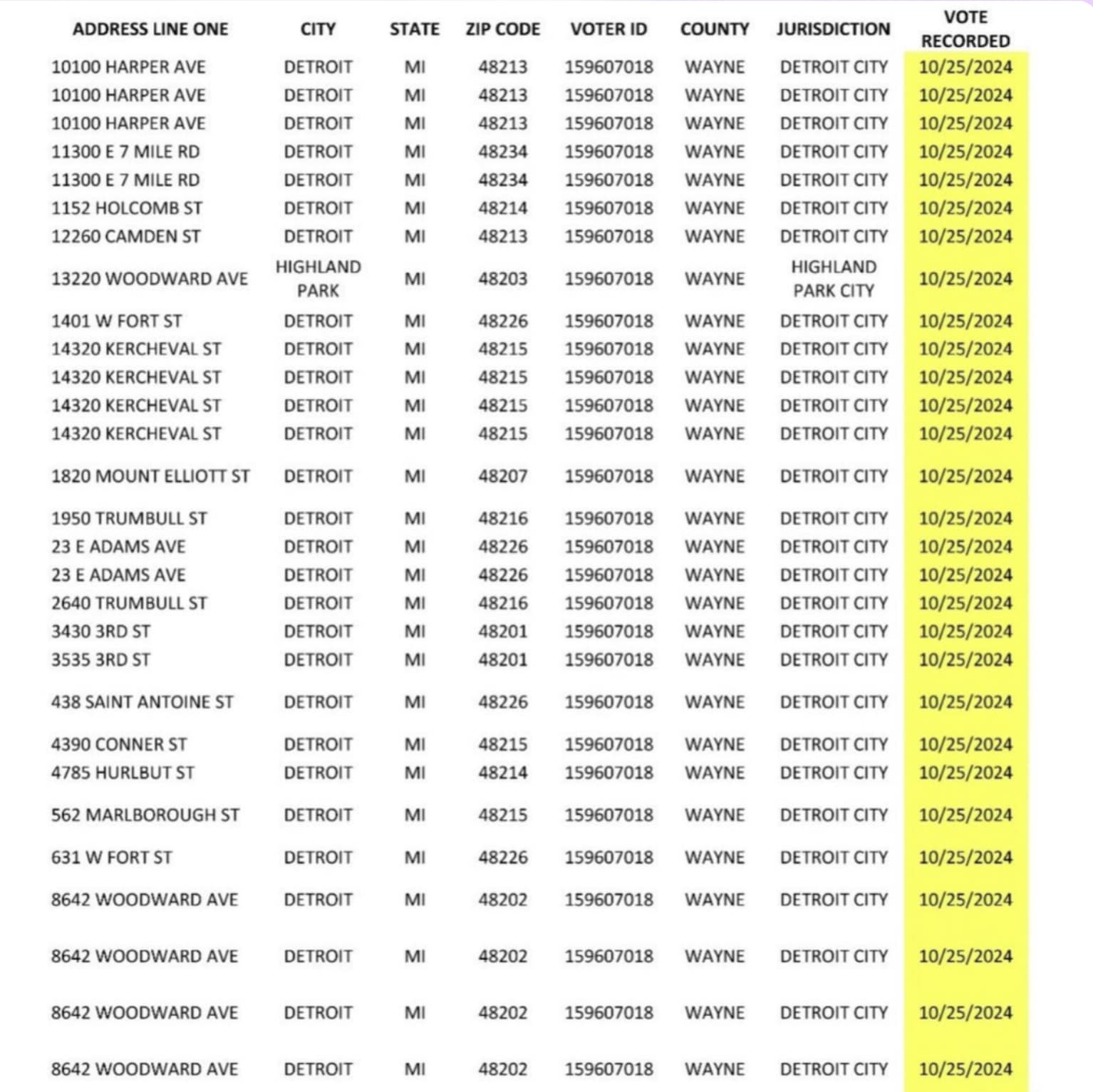
Old  Default SỐC VỀ VIỆC BẦU CỬ SỚM CỦA DETROIT, MICHIGAN ,một VoterID# có thể bỏ phiếu 29 lần từ nhiều địa chỉ?
Các nhà phân tích dữ liệu về tính toàn vẹn của cuộc bầu cử tuyên bố họ có bằng chứng về 208.075 lá phiếu được bỏ bởi 82.674 cử tri… Vượt quá 125.428 phiếu bầu!
Sau đây là một câu hỏi và bằng chứng để trình lên Bộ Ngoại giao.
Làm sao cùng một VoterID# có thể bỏ phiếu 29 lần từ nhiều địa chỉ?
Theo bà Jocelyn Benson, Bộ trưởng Ngoại giao Michigan giải thích : một số loại máy bỏ phiếu Dominion có trục trặc.
"Tất nhiên, không phải tất cả các máy, chỉ những máy có thể truy cập được mới có vấn đề. Với việc bỏ phiếu theo đảng phái và vấn đề về lập trình, điều đó một lần nữa ảnh hưởng đến các máy trên toàn quốc", bà nói thêm.
Dịch trang: EnglishEnglish DeutschDeutsch FrançaisFrançais EspañolEspañol ItalianoItaliano PortuguêsPortuguês
NorskNorsk NederlandsNederlands DanskDansk SuomiSuomi PolskiPolski ČeštinaČeština РусскийРусский
日本語日本語 한국어한국어 中文(简体)中文(简体) 中文(繁體)中文(繁體) MagyarMagyar TürkçeTürkçe
العربيةالعربية ไทยไทย LatinaLatina हिन्दीहिन्दी Bahasa IndonesiaBahasa Indonesia Bahasa MelayuBahasa Melayu
VIETBF Hybrid Community Content Hub

HOT NEWS 24h

HOT 3 Days

NEWS 3 Days

HOT 7 Days

NEWS 7 Days

HOME

Breaking News

VietOversea

World News

Business News

Car News

Computer News

Game News

USA News

Mobile News

Music News

Movies News

History

Thơ Ca

Sport News

Stranger Stories

Comedy Stories

Cooking Chat

Nice Pictures

Fashion

School

Travelling

Funny Videos

Canada Tin Hay

USA Tin Hay

VietBF Homepage Autoscroll

VietBF Video Autoscroll Portal

Super Widescreen

Home Master Page

VietBF iPad Music Portal

Tin nóng nhất 50h qua

Phim Bộ Online

Phim Bộ



luyenchuong3000
R8 Võ Lâm Chí Tôn
Release: 10-31-2024
Reputation: 769550


Profile:
Join Date: Mar 2008
Posts: 15,136
Last Update: None Rating: None
Attached Thumbnails
Click image for larger version

Name:	465008194_9429911847025478_187627405461168333_n.jpg
Views:	0
Size:	183.0 KB
ID:	2447498   Click image for larger version

Name:	465255013_9429911810358815_7496535195529054995_n.jpg
Views:	0
Size:	92.3 KB
ID:	2447499  
luyenchuong3000_is_offline
Thanks: 20,243
Thanked 43,636 Times in 12,307 Posts
Mentioned: 161 Post(s)
Tagged: 0 Thread(s)
Quoted: 1900 Post(s)
Rep Power: 72
luyenchuong3000 Reputation Uy Tín Level 11luyenchuong3000 Reputation Uy Tín Level 11luyenchuong3000 Reputation Uy Tín Level 11luyenchuong3000 Reputation Uy Tín Level 11
luyenchuong3000 Reputation Uy Tín Level 11luyenchuong3000 Reputation Uy Tín Level 11luyenchuong3000 Reputation Uy Tín Level 11luyenchuong3000 Reputation Uy Tín Level 11luyenchuong3000 Reputation Uy Tín Level 11luyenchuong3000 Reputation Uy Tín Level 11luyenchuong3000 Reputation Uy Tín Level 11luyenchuong3000 Reputation Uy Tín Level 11luyenchuong3000 Reputation Uy Tín Level 11luyenchuong3000 Reputation Uy Tín Level 11luyenchuong3000 Reputation Uy Tín Level 11luyenchuong3000 Reputation Uy Tín Level 11luyenchuong3000 Reputation Uy Tín Level 11luyenchuong3000 Reputation Uy Tín Level 11luyenchuong3000 Reputation Uy Tín Level 11luyenchuong3000 Reputation Uy Tín Level 11luyenchuong3000 Reputation Uy Tín Level 11luyenchuong3000 Reputation Uy Tín Level 11luyenchuong3000 Reputation Uy Tín Level 11luyenchuong3000 Reputation Uy Tín Level 11luyenchuong3000 Reputation Uy Tín Level 11luyenchuong3000 Reputation Uy Tín Level 11luyenchuong3000 Reputation Uy Tín Level 11luyenchuong3000 Reputation Uy Tín Level 11
The Following 4 Users Say Thank You to luyenchuong3000 For This Useful Post:
Da Lat (10-31-2024), miaghim007 (10-31-2024), N&N (11-01-2024), phokhuya (11-01-2024)
Dịch trang: EnglishEnglish DeutschDeutsch FrançaisFrançais EspañolEspañol ItalianoItaliano PortuguêsPortuguês
NorskNorsk NederlandsNederlands DanskDansk SuomiSuomi PolskiPolski ČeštinaČeština РусскийРусский
日本語日本語 한국어한국어 中文(简体)中文(简体) 中文(繁體)中文(繁體) MagyarMagyar TürkçeTürkçe
العربيةالعربية ไทยไทย LatinaLatina हिन्दीहिन्दी Bahasa IndonesiaBahasa Indonesia Bahasa MelayuBahasa Melayu
Old 10-31-2024   #2
luyenchuong3000
R8 Võ Lâm Chí Tôn
 
Join Date: Mar 2008
Posts: 15,136
Thanks: 20,243
Thanked 43,636 Times in 12,307 Posts
Mentioned: 161 Post(s)
Tagged: 0 Thread(s)
Quoted: 1900 Post(s)
Rep Power: 72
luyenchuong3000 Reputation Uy Tín Level 11luyenchuong3000 Reputation Uy Tín Level 11luyenchuong3000 Reputation Uy Tín Level 11luyenchuong3000 Reputation Uy Tín Level 11
luyenchuong3000 Reputation Uy Tín Level 11luyenchuong3000 Reputation Uy Tín Level 11luyenchuong3000 Reputation Uy Tín Level 11luyenchuong3000 Reputation Uy Tín Level 11luyenchuong3000 Reputation Uy Tín Level 11luyenchuong3000 Reputation Uy Tín Level 11luyenchuong3000 Reputation Uy Tín Level 11luyenchuong3000 Reputation Uy Tín Level 11luyenchuong3000 Reputation Uy Tín Level 11luyenchuong3000 Reputation Uy Tín Level 11luyenchuong3000 Reputation Uy Tín Level 11luyenchuong3000 Reputation Uy Tín Level 11luyenchuong3000 Reputation Uy Tín Level 11luyenchuong3000 Reputation Uy Tín Level 11luyenchuong3000 Reputation Uy Tín Level 11luyenchuong3000 Reputation Uy Tín Level 11luyenchuong3000 Reputation Uy Tín Level 11luyenchuong3000 Reputation Uy Tín Level 11luyenchuong3000 Reputation Uy Tín Level 11luyenchuong3000 Reputation Uy Tín Level 11luyenchuong3000 Reputation Uy Tín Level 11luyenchuong3000 Reputation Uy Tín Level 11luyenchuong3000 Reputation Uy Tín Level 11luyenchuong3000 Reputation Uy Tín Level 11
Default

Democrats: cheating again
luyenchuong3000_is_offline   Reply With Quote
The Following 3 Users Say Thank You to luyenchuong3000 For This Useful Post:
Da Lat (10-31-2024), N&N (11-01-2024), phokhuya (11-01-2024)
Reply

User Tag List


Hai Lần “Tháng Tư Đen” của Việt Nam Cộng Hòa: Khai Sinh Trong Lửa, Sụp Đổ Trong Biển Lệ Vĩnh biệt ca sĩ Công Thành – một đời rong ruổi theo tiếng hát, một chuyện tình đẹp cùng Lynn khép lại trong nỗi tiếc thương Mỹ kích hoạt đăng ký quân dịch tự động: cả người thẻ xanh cũng bị bắt đi làm lính cho Mỹ !
Trump, Iran và NATO: Khi “liên minh thép” đứng trước nguy cơ rạn nứt vì tham vọng chính trị Bão giá nhiên liệu lan rộng: Doanh nghiệp âm thầm “móc túi” người tiêu dùng qua phụ phí và chiêu thức tinh vi iPhone 18 Pro: Apple đứng trước ngã rẽ thiết kế – Dynamic Island thu nhỏ hay “giậm chân tại chỗ”?
“Hormuz chưa mở”: Lời cảnh báo lạnh người, 26 tàu Hàn Quốc bị mắc kẹt Eo Biển Hormuz “Mở Mà Như Đóng”: Ngừng Bắn Mong Manh, Tàu Hàng Vẫn Án Binh, Giá Dầu Lại Nhăm Nhe 100 USD Đồng minh tốt nhất của ông Trump ở Liên Âu khả năng sẽ thất cử
Iran điều động nhiều sư đoàn khóa chặt Hormuz: sa mạc rầm rập thiết giáp, Kharg Island rung chuyển, Trung Đông bước vào canh bạc sinh tử USS Tripoli mang theo hai thủy thủ gốc Việt tiến về Trung Đông, nhưng cánh cửa đổ bộ lên bờ bắc Hormuz vẫn chưa phải lựa chọn dễ dàng Hoa Kỳ treo thưởng 10 triệu USD cho thông tin về lãnh đạo Iran, Hoa Kỳ điều động USS Tripoli và 5.000 quân đến Trung Đông
Máy bay tiếp dầu Mỹ rơi ở Iraq, 4 quân nhân thiệt mạng Minh Giáo trong truyện Kim Dung, Shia 12 Imam của Iran và Hỏa Giáo Ba Tư – Khi mạng xã hội Trung Quốc nhầm lẫn lịch sử Máy bay tiếp dầu của Mỹ rơi, thị trường chứng khoán chao đảo, Iran dọa đốt cháy hạ tầng dầu khí cả khu vực
Mỹ chưa sẵn sàng hộ tống tàu qua Hormuz, Nga bị tố giúp Iran, “Ayatollah” là gì, Mỹ tiết lộ số dầu trung bình-thấp còn trong kho Thông điệp đầu tiên của Tân Giáo Chủ Ba Tư: đóng Hormuz, dọa đánh căn cứ Mỹ và lời trấn an nửa vời với láng giềng Putin trúng số giữa cơn bão Trung Đông: khi dầu mỏ, chiến tranh và ảo tưởng của Trump cùng đẩy Nga hưởng lợi
Chinamaxxing – Khi giấc mơ Trung Hoa trở thành trào lưu của Gen Z Mỹ Thông Điệp Liên Bang 2026: 107 phút kỷ lục của ông Trump Zero người vượt biên, fentanyl giảm 56%: mở màn Thông điệp Liên bang 2026
Dũng Taylor fan MAGA nhưng chỉ thẳng mặt Trump là tên ngủ gật Peter Mandelson bị bắt vì liên hệ Epstein Trump nâng đòn 15% toàn cầu trước SOTU
Tòa Tối Cao bẻ lái thuế quan của Trump El Mencho bị hạ sát, Mexico rung chuyển Hành trình nhiều sóng gió của bà Nguyễn Phương Hằng 2026 Bính Ngọ

 

iPad Videos Portal Autoscroll

VietBF Music Portal Autoscroll

iPad News Portal Autoscroll

VietBF Homepage Autoscroll

VietBF Video Autoscroll Portal

USA News Autoscroll Portall

VietBF WORLD Autoscroll Portal

Video Classic Master Page

Super Widescreen

iPad World Portal Autoscroll

iPad USA Portal Autoscroll

Phim Bộ Online
Lên đầu Xuống dưới Lên 3000px Xuống 3000px

Tin nóng nhất 24h qua

Tin nóng nhất 3 ngày qua

Tin nóng nhất 7 ngày qua

Tin nóng nhất 30 ngày qua

Albums

Total Videos Online

Tranh luận sôi nổi nhất 7 ngày qua

Tranh luận sôi nổi nhất 14 ngày qua

Tranh luận sôi nổi nhất 30 ngày qua

10.000 Tin mới nhất

Tin tức Hoa Kỳ

Tin tức Công nghệ
Lên đầu Xuống dưới Lên 3000px Xuống 3000px

Duo Series Movies Portal

Duo Music Portal

Phim Bộ

Tỷ Giá

Thời Tiết

Tin Nóng Nhất 50h

Super News

School Cooking Traveling Portal

Enter Portal

Series Shows and Movies Online

Home Classic Master Page

Donation Ủng hộ $3 cho VietBF
Lên đầu Xuống dưới Lên 3000px Xuống 3000px
Diễn Đàn Người Việt Hải Ngoại. Tự do ngôn luận, an toàn và uy tín. Vì một tương lai tươi đẹp cho các thế hệ Việt Nam hãy ghé thăm chúng tôi, hãy tâm sự với chúng tôi mỗi ngày, mỗi giờ và mỗi giây phút có thể. VietBF.Com Xin cám ơn các bạn, chúc tất cả các bạn vui vẻ và gặp nhiều may mắn.
Welcome to Vietnamese American Community, Vietnamese European, Canadian, Australian Forum, Vietnamese Overseas Forum. Freedom of speech, safety and prestige. For a beautiful future for Vietnamese generations, please visit us, talk to us every day, every hour and every moment possible. VietBF.Com Thank you all and good luck.

Lên đầu Xuống dưới Lên 3000px Xuống 3000px

All times are GMT. The time now is 17:35.
VietBF - Vietnamese Best Forum Copyright ©2005 - 2026
User Alert System provided by Advanced User Tagging (Pro) - vBulletin Mods & Addons Copyright © 2026 DragonByte Technologies Ltd.
Log Out Unregistered

Page generated in 0.10307 seconds with 15 queries